合作客戶/
拜耳公司 |
同濟大學 |
聯合大學 |
美國保潔 |
美國強生 |
瑞士羅氏 |
相關新聞Info
推薦新聞Info
-
> 新型多羥基苯磺酸鹽驅油劑的界面張力優化及油田應用潛力分析(三)
> 新型多羥基苯磺酸鹽驅油劑的界面張力優化及油田應用潛力分析(二)
> 新型多羥基苯磺酸鹽驅油劑的界面張力優化及油田應用潛力分析(一)
> 基于最大氣泡壓力方法測量液態鋰錫合金表面張力
> 烷基糖苷表面活性劑界面張力與潤濕性相關性研究(二)
> 烷基糖苷表面活性劑界面張力與潤濕性相關性研究(一)
> 嵌段比例對溫敏聚合物表面張力的影響及臨界膠束濃度分析(五)
> 嵌段比例對溫敏聚合物表面張力的影響及臨界膠束濃度分析(四)
> 利用表面張力優化浮選工藝:調整劑AY在石英-膠磷礦分離中的活性調控(二)
> 利用表面張力優化浮選工藝:調整劑AY在石英-膠磷礦分離中的活性調控(一)
誰的表面張力更大?
來源:李傳亮 瀏覽 1644 次 發布時間:2022-06-20
從前發過一個帖子“好大的泡泡“,帖了兩張吹的比人還大的肥皂泡泡供大家娛樂消遣,并說了大泡泡的表面張力也會很大的意思。
有網友提出了不同看法,說大泡泡的表面張力不是很大,應該很小,表面張力小才容易起泡,增加表面積做功才最少。
他們的說法似乎也有道理,一個泡泡圖片引發了大家的思考,是一件很好的事情。
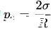
我是這樣分析泡泡的受力情況的,圖中的泡泡不是人吹的,而是風吹的,泡泡的內外都是空氣,但里面的壓力肯定比外面的壓力高,二者的差值為泡泡的附加壓力,也就是人們常說的毛管壓力。由于風是固定的,因此附加壓力的數值也是一樣的。在相同的附加壓力下,是大泡泡的表面張力大,還是小泡泡的表面張力大呢?
由于附加壓力
,曲率半徑越大,表面張力[公式]也就越大,因此,只有表面張力較大的液體才能吹成更大的泡泡。若表面張力較小,還沒等吹大就破了。表面張力與固體材料的應力強度極為相似,都是破裂時的力學性質。
我沒有深入研究過表面化學,一時也找不到更好的解釋,請大家討論一下吧,看誰能給出更好的答案,期待中。。。





