合作客戶/
拜耳公司 |
同濟大學 |
聯合大學 |
美國保潔 |
美國強生 |
瑞士羅氏 |
相關新聞Info
推薦新聞Info
-
> 新型多羥基苯磺酸鹽驅油劑的界面張力優化及油田應用潛力分析(一)
> 基于最大氣泡壓力方法測量液態鋰錫合金表面張力
> 烷基糖苷表面活性劑界面張力與潤濕性相關性研究(二)
> 烷基糖苷表面活性劑界面張力與潤濕性相關性研究(一)
> 嵌段比例對溫敏聚合物表面張力的影響及臨界膠束濃度分析(五)
> 嵌段比例對溫敏聚合物表面張力的影響及臨界膠束濃度分析(四)
> 利用表面張力優化浮選工藝:調整劑AY在石英-膠磷礦分離中的活性調控(二)
> 利用表面張力優化浮選工藝:調整劑AY在石英-膠磷礦分離中的活性調控(一)
> 嵌段比例對溫敏聚合物表面張力的影響及臨界膠束濃度分析(三)
> 嵌段比例對溫敏聚合物表面張力的影響及臨界膠束濃度分析(二)
溫度和碳碳雙鍵數對脂肪酸酯表面張力的影響(二)
來源: 《聊城大學學報(自然科學版)》 瀏覽 121 次 發布時間:2025-12-08
密度梯度理論中僅需要“影響因子”一個參數即可,該參數的理論計算方法復雜、計算程序繁瑣,因此通用的方法是由純物質的表面張力數據回歸得到純物質的影響因子,該方法已廣泛用于表面張力的預測。密度梯度理論與狀態方程結合計算表面張力,可選擇不同的狀態方程,如立方型狀態方程、流體締合理論(StatisticAssociatingFluidTheory,SAFT)狀態方程等,由于立方型狀態方程形式簡單、通用性好,因此,立方型方程與密度梯度理論結合計算表面張力得到很大的發展和研究。
密度梯度理論物理意義清晰、理論形式相對簡單,能夠成功地應用于純物質界面性質的描述,比較容易推廣到混合物體系計算。但目前研究中存在一些問題:很多研究中獲得的影響因子往往只針對某一類物質,或者僅以列表形式給出文中涉及物質的影響因子,通用性差;SAFT方程形式復雜,需要實驗數據回歸方程參數,無法以此建立簡單通用的計算模型,并且該方程與密度梯度理論結合計算表面張力的預測結果不是很好。因此,通用的影響因子計算公式的提出對該理論用于表面張力計算的研究具有非常重要的指導意義。
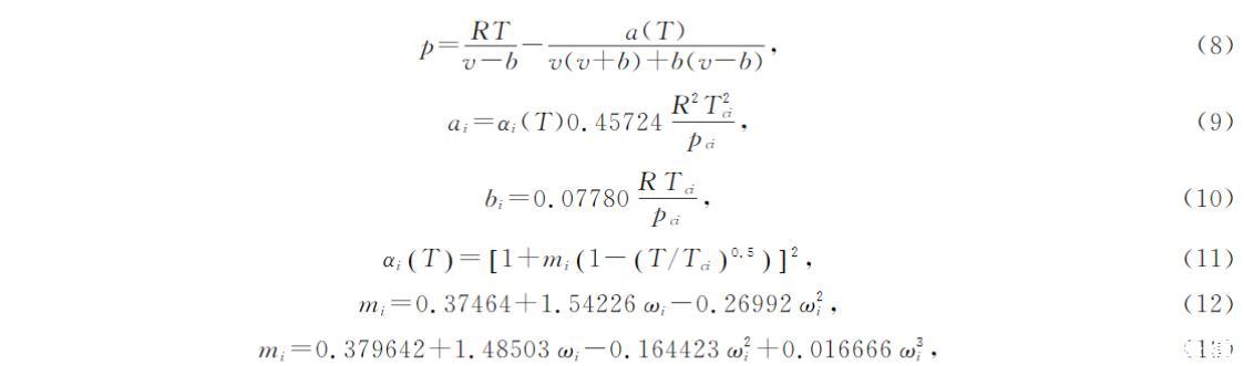
本研究采用PR[7]狀態方程與密度梯度理論結合計算表面張力。PR狀態方程的原始表達式如方程(8)-(13)所示,1978年Robinson和Peng[8]對原始的PR方程進行了修訂,偏心因子ω>0.49時,m值由方程(13)得到
p=RT/(v-b)-a(T)/[v(v+b)+b(v-b)], (8)
ai=αi(T)0.45724R2Tc2i/pci, (9)
bi=0.07780RTci/pci, (10)
αi(T)=[1+mi(1-√(T/Tci))]2, (11)
mi=0.37464+1.54226ωi-0.26992ω2i, (12)
mi=0.379642+1.48503ωi-0.164423ω2i+0.016666ω3i, (13)
式中p為平衡壓力,單位是Pa;R為理想氣體常數,單位是J/mol/K;T為溫度,單位是K;v為摩爾體積,單位是m3/mol;Tc為臨界溫度,單位是K;Pc為臨界壓力,單位是Pa;ω為偏心因子。
2 計算模型
本研究共收集整理了碳原子數在6-24之間的脂肪酸酯,通過查閱文獻實驗數據,對文獻數據進行分析整理,分類總結。共整理了19種不同碳數、不同雙鍵數的脂肪酸酯的209個表面張力實驗數據,溫度范圍為283.15-373.15K。采用方程(7)計算得到脂肪酸酯類影響因子C的實驗值,分析影響因子隨溫度和碳碳雙鍵數的變化規律,提出脂肪酸酯類影響因子的關聯式(如方程(14)所示),采用最小二乘法進行非線性擬合回歸,目標函數(ObjectiveFunction-OF)如方程(15)所示,計算結果如表2所示,詳細的計算結果見附錄,全部數據用于回歸擬合時,方程(14)的統計參數R2和AARD分別為0.9892和1.50%。
影響因子實驗值與計算值比較如圖1所示,由圖1可知,所有的數據點幾乎都落在中間對角線上,影響因子計算值與實驗測定值一致性很好,說明該模型可精確的估算脂肪酸酯類的表面張力。影響因子關聯式誤差分布如圖2所示,由圖2可知,相對誤差RD%絕大部分小于2%,說明計算結果較好。
C=p1+p2?ln(T)+p3?(ln(T))2+p4?(ln(T))3+p5?(Z)/(1+p6?ln(T)+p7?Z), (14)
式中C為影響因子;T為溫度,K;Z為碳碳雙鍵數;p1、p2、p3、p4、p5、p6、p7為回歸參數,參數值如表1所示。
OF=min∑(yexp-ycal)2, (15)
式中yexp和ycal分別為影響因子實驗值和計算值。
AARD%=∑(γexp.-γcal.
/γexp.)×100/n, (16)
RD%=(γexp.-γcal.
/γexp.)×100。 (17)
表1 影響因子關聯式回歸得到的參數值
參數 回歸值
P1 22.52
P2 -11.74
P3 2.05
P4 -0.12
P5 0.092
P6 -0.17
P7 0.14
為進一步檢測提出模型的預測能力,本文采用外推驗證(ExternalValidation)評估新模型。將所有數據隨機分為試驗集(159)和測試集(50),訓練集用于重新回歸關聯方程(14)的參數,新得到的參數用于計算測試集的表面張力值,訓練集和測試集的計算結果如表2所示。試驗集的R2=0.9842,AARD=1.40%,測試集的R2=0.9951,AARD=0.76%,由表2可以看到,訓練集的統計參數R2和AARD與所有數據參與回歸時得到的統計參數幾乎一致。
表2 模型計算結果
模型 數據量 R2 AARD
全部 209 0.9892 1.50%
試驗集 159 0.9842 1.40%
測試集 50 0.9951 0.76%
以上結果表明,該模型估算脂肪酯類的表面張力值具有很好的預測能力。
圖1 影響因子計算值與實驗值比較
圖2 相對誤差分布圖
結論
分析和討論了溫度和碳碳雙鍵數對脂肪酸酯表面張力的影響,整理了現有文獻中脂肪酸酯的表面張力實驗值,將密度梯度理論與PR狀態方程結合,分析影響因子隨溫度和碳碳雙鍵數的變化規律,提出了表面張力的關鍵參數-影響因子的關聯式。該關聯式的統計參數R2和AARD分別為0.9892和1.50%,并對該關聯式進行了外推驗證,試驗集的R2=0.9842,AARD=1.40%,測試集的R2=0.9951,AARD=0.76%,訓練集的統計參數R2和AARD與所有數據參與回歸時得到的統計參數幾乎一致。以上數據表明該關聯式的預測能力較好。





